Penjumlahan Dan Pengurangan Pecahan Aljabar

Jan 28, 2021

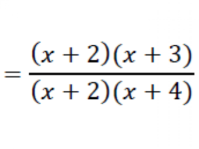
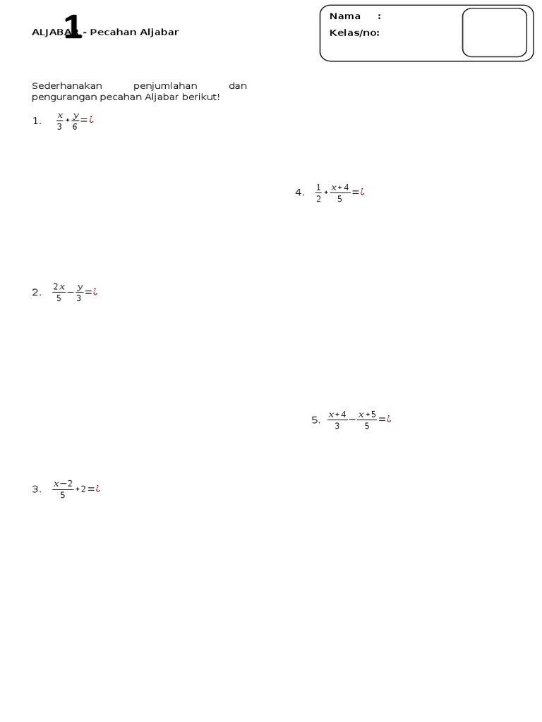
Penjumlahan dan Pengurangan Pecahan Aljabar sederhanakan penjumlahan dan pengurangan pecahan aljabar berikutyg … Operasi Hitung Pecahan Aljabar Dan Contoh Soalnya pecahan aljabar | CHUSNUL MUALI Operasi Pecahan Aljabar: Penjumlahan, Pengurangan, Perkalian … Operasi Pecahan dalam Aljabar : Penjumlahan dan Pengurangan Operasi Penjumlahan dan Pengurangan bentuk Pecahan Aljabar beserta … Penjumlahan dan Pengurangan Pecahan Aljabar Operasi Hitung Pecahan Aljabar Dan Contoh Soalnya Operasi Hitung Pecahan Aljabar Beserta Contoh Soal Lengkap Terbaru penjumlahan dan pengurangan dlm bentuk pecahan aljabar. Tolong … sederhanakan penjumlahan dan pengurangan pecahan aljabar berikut Mathematics Terms for Junior High School: Penjumlahan dan … Bagaimana Menyelesaiakan Operasi Pecahan Bentuk Aljabar – Rumus … Operasi Penjumlahan dan Pengurangan bentuk Pecahan Aljabar beserta … Operasi hitung pecahan aljabar - partnermatematika.com Penjumlahan dan Pengurangan Pecahan Aljabar Operasi Hitung Pecahan Aljabar Dan Contoh Soalnya Penjumlahan Dan Pengurangan Pecahan Bentuk Aljabar - Seputar Bentuk Operasi Hitung Pecahan Aljabar Dan Contoh Soalnya Operasi Hitung Pecahan Aljabar | Atika Khaulah Putri sederhanakan penjumlahan dan pengurangan pecahan aljabar berikut 3 … Cara Menjumlahkan Pecahan Bentuk Aljabar operasi pada pecahan aljabar 1 - YouTube Bagaimana Menyelesaiakan Operasi Pecahan Bentuk Aljabar – Rumus … Penjumlahan dan Pengurangan Pecahan Aljabar Operasi Hitung Pecahan Aljabar Dan Contoh Soalnya kelas01_matematika-konsep-dan-aplikasinya_dewi-tri by s. van … √ Bentuk Aljabar - Unsur, Rumus, Operasi, Contoh Soal Pecahan Dalam Bentuk Aljabar Penjumlahan dan Pengurangan Pecahan Aljabar | Aljabar 5 - YouTube √ Aljabar: Unsur, Operasi Hitung, Pecahan Bentuk Ajabar Sederhanakanlah penjumlahan dan pengurangan pecahan aljabar … Pecahan Aljabar | MATEMATIKA ITU MENYENANGKAN kelas08_matematika-konsep-dan-aplikasinya_dewi-tri by s. van … Penjumlahan dan Pengurangan Pecahan Aljabar Matematika Kelas 7 - Aljabar (8) - Pecahan Aljabar, Penjumlahan … 31++ Contoh Soal Aljabar Pecahan Penjumlahan - Kumpulan Contoh Soal MARI BELAJAR MATEMATIKA BERSAMA PAK SUDARSONO - ppt download Penjumlahan Dan Pengurangan Pecahan Bentuk Aljabar - Seputar Bentuk 136 Operasi Hitung Pecahan Aljabar Dan Contoh Soalnya sederhanakan penjumlahan dan pengurangan pecahan aljabar berikut … Cara Mudah Dalam Pembagian Pecahan Bentuk Aljabar Streaming Matematika Kelas 7 - Aljabar (8) - Pecahan Aljabar … Rpp operasi pecahan bentuk aljabar1 Pengurangan Pecahan Aljabar - YouTube Penjumlahan Dan Pengurangan Pecahan Bentuk Aljabar - Seputar Bentuk PENGENALAN ALJABAR - . OPERASI HITUNG ALJABAR 1. Penjumlahan dan … Rumus Matematika Aljabar SMP Kelas 8 lkpd - pertemuan 4 Operasi hitung pecahan aljabar - partnermatematika.com Bagaimana Menyelesaiakan Operasi Pecahan Bentuk Aljabar – Rumus … MATERI ALJABAR KELAS VII Cara Mudah Menjumlah Dan Mengurangkan Pecahan Bentuk Aljabar #2 … Perkalian dan Pembagian Pecahan Aljabar Operasi Hitung Pecahan Aljabar | Mbloo Blog selesaikan penjumlahan pecahan bentuk aljabar berikut !! - Brainly … Operasi Pecahan Aljabar: Penjumlahan, Pengurangan, Perkalian … Operasi Hitung Pecahan Aljabar Dan Contoh Soalnya Aljabar dan Penerapannya - ppt download 1.5 Operasi Pecahan. Cara mudah penjumlahan dan pembagian pecahan bentuk aljabar - YouTube Contoh Soal Menyederhanakan Pecahan Aljabar Mengenal Aljabar – Math is My Life tentukan hasil penjumlahan dan pengurangan pecahan aljabar berikut … Mathematics Terms for Junior High School: Operasi pecahan dalam … Bagaimana Menyelesaiakan Operasi Pecahan Bentuk Aljabar – Rumus … Contoh Soal Operasi Pecahan Bentuk Aljabar Pembahasan Lengkap … pecahan aljabar | CHUSNUL MUALI Cara Menyederhanakan Pecahan Bentuk Aljabar - Berpendidikan.Com Penjumlahan dan Pengurangan Bilangan Pecahan Operasi aljabar smp Pengurangan Pecahan - Biasa, Campuran, Murni Lengkap √ Aljabar: Unsur, Operasi Hitung, Pecahan Bentuk Ajabar Penjumlahan dan Pengurangan Pecahan Aljabar - matematika kelas 8 … Materi Matematika SMP Kelas VIII Operasi Pecahan dalam Bentuk … Contoh Soal Menyederhanakan Pecahan Bersusun (Kompleks) Operasi Hitung Pecahan Aljabar Dan Contoh Soalnya RPP I Operasi Pecahan Bentuk Aljabar 3 OPERASI HITUNG BENTUK ALJABAR - PDF Free Download RPP Riset 4 | Riki Yansa - Academia.edu Cara Mengerjakan Aljabar Pecahan – IlmuSosial.id Bagaimana Menyelesaiakan Operasi Pecahan Bentuk Aljabar – Rumus … 3 Cara untuk Menyederhanakan Pecahan Aljabar - wikiHow Penjumlahan dan Pengurangan pada Pecahan Operasi Hitung Pecahan Aljabar | Mbloo Blog Contoh soal operasi pecahan aljabar - partnermatematika.com Operasi Penjumlahan dan Pengurangan bentuk Pecahan Aljabar beserta … BAB I - Webnode Modul operasi dan faktorisasi hitung aljabar Penjumlahan Dan Pengurangan Pecahan Bentuk Aljabar - Seputar Bentuk UNTUK SMP KELAS VII. OLEH MAYANG SARI - ppt download Penjumlahan dan pengurangan Pecahan bentuk aljabar Quiz - Quizizz Penggunaan Pecahan Dalam Masalah Sehari-Hari - RumusQ.id Selesaikanlah penjumlahan dan pengurangan pecahan bentuk aljabar … Penjumlahan dan Pengurangan Pecahan Aljabar - YouTube Rumus Matematika Aljabar SMP Kelas 8 Sederhanakan penjumlahan dan pengurangan pecahan Aljabar berikut! Matematika Kelas 7 | Mengenal Operasi Hitung pada Pecahan

Permainan Laki Laki Dan Perempuan

Menyiram Tanaman Dengan Air Sabun