Contoh Soal Invers Transformasi Laplace

Jan 27, 2021

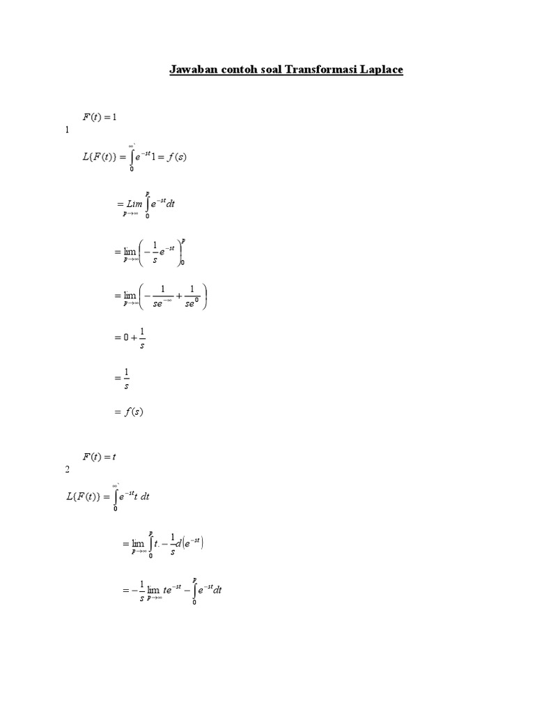
Contoh Soal Invers Transformasi Laplace | Kumpulan Soal pelajaran 6 Contoh Soal Invers Transformasi Laplace | Kumpulan Soal pelajaran 6 Contoh Soal Invers Transformasi Laplace | Kumpulan Soal pelajaran 6 TRANSFORMASI LAPLACE INVERS (beserta contoh soal) - YouTube SOAL Transformasi Laplace Balik Modul 3 transformasi laplace 4. Invers Transformasi Laplace - .• Invers Transformasi Laplace … Contoh Soal Transformasi Laplace Trigonometri - Soal-Soal INVERS TRANSFORMASI LAPLACE DAN SIFAT-SIFATNYA Pertemuan - ppt … Modul 3 transformasi laplace Soal Transformasi Laplace 2 (part 2) - YouTube Contoh Soal Transformasi Laplace Balik | Ilmu Pengetahuan 8 contoh soal tranformasi laplace.docx - KODE IKLAN 336x280 Setelah … bab-6-transformasi-laplace Contoh Soal Invers Transformasi Laplace | Kumpulan Soal pelajaran 6 TRANSFORMASI LAPLACE Yulvi Zaika. - ppt download Transformasi Laplace contoh soal Transformasi Laplace dan jawaban.docx contoh soal Transformasi Laplace dan jawaban.docx Transformasi Laplace « teknik mesin 2011 universitas brawijaya Modul 3 transformasi laplace Contoh Soal Invers Transformasi Laplace | Kumpulan Soal pelajaran 6 Jawaban Tugas - .Jawaban Tugas . Invers Transformasi Laplace . b … Contoh Soal Dan Pembahasan Transformasi Matriks Contoh Soal … Solusi PD dengan Transformasi Laplace | Dwipurnomoikipbu’s Blog Contoh Soal Invers Transformasi Laplace | Kumpulan Soal pelajaran 6 Handout Transformasi Laplace tentukan invers transformasi laplace berikut. tolongg dongg yang … MATLAN 03 INVERS LAPLACE - nbsp;· matematika lanjut invers laplace … bab 6 transformasi laplace Contoh Soal Invers Transformasi Laplace - YouTube Contoh Soal Dan Jawaban Transformasi Laplace Pada Persamaan … Modul 4-Transformasi-Laplace.doc - 4 4.1 MODUL 4 TRANSFORMASI … Contoh Soal Invers Transformasi Laplace | Kumpulan Soal pelajaran 6 Transformasi Laplace « teknik mesin 2011 universitas brawijaya Contoh Soal Dan Pembahasan Transformasi Matriks Contoh Soal … Modul 3 transformasi laplace SOAL Transformasi Laplace Balik Matematika Teknik 2 – Bab 3 – Invers Laplace Transformasi Laplace_Bagian 4: Invers Laplace - YouTube PDF) Ciri-ciri sifat linearitas pada Persamaan Diferensial | arry … TLaplace2 Contoh Soal Invers Transformasi Laplace | Kumpulan Soal pelajaran 6 Modul 3 transformasi laplace Matematika Teknik 2 – Bab 3 – Invers Laplace 70 54 APLIKASI TRANSFORMASI LAPLACE PADA Invers Transformasi Laplace: Febrizal, MT Contoh Soal Invers Transformasi Laplace | Kumpulan Soal pelajaran 6 MATLAN 03 INVERS LAPLACE - nbsp;· matematika lanjut invers laplace … SOAL : : Buku Tertutup … Tentukan invers transformasi Laplace … buku Laplace 2 (new) - Blog at UNY dot AC dot ID Modul 3 transformasi laplace Diferensiasi dan Integrasi Transformasi Laplace - ppt download Modul 3 Transformasi Laplace |authorSTREAM Matematika Teknik I (Laplace) BISALAH INI.pdf - BAB III TRANSFORMASI LAPLACE Penyelesaian … Belajar Matematika: (9) contoh soal transformasi lapace-5 Tentukan invers transformasi laplace berikut - Brainly.co.id materi 14 Transformasi Laplace Invers - YouTube Transformasi Laplace dan Deret Fourier, … Olah karenanya soal … Modul 3 transformasi laplace Penerapan Transformasi Laplace pada penyelesaian - ppt download PPT - Diferensiasi dan Integrasi Transformasi Laplace PowerPoint … Bab 6 Transformasi Laplace(1) Transformasi Laplace « teknik mesin 2011 universitas brawijaya Contoh Soal Transformasi Laplace Persamaan Diferensial | Ilmu … TABEL TRANSFORMASI LAPLACE.docx - TABEL TRANSFORMASI LAPLACE No 1 … MATLAN 03 INVERS LAPLACE - nbsp;· matematika lanjut invers laplace … Contoh Soal Dan Jawaban Transformasi Fourier Diskrit – IlmuSosial.id Pecahan Parsial dan Transform Laplace invers pada MNA Jawaban contoh soal Transformasi Laplace - Teknik contoh soal … PPT - Transformasi Z PowerPoint Presentation, free download - ID … Transformasi Z. - ppt download Solusi PD dengan Transformasi Laplace | Dwipurnomoikipbu’s Blog DOC) RESUME RANGKAIAN LISTRIK II - PECAHAN PARSIAL TRANSFORMASI … Contoh Soal Dan Jawaban Transformasi Fourier Diskrit – IlmuSosial.id Transformasi Laplace - [PDF Document] Contoh Soal Invers Transformasi Laplace | Kumpulan Soal pelajaran 6 M1001 Transformasi Laplace : Pengantar dan Pembuktian 1 … Modul 3 Transformasi Laplace |authorSTREAM Invers Laplace Pecahan Parsial dan Transform Laplace invers pada MNA Diferensiasi dan Integrasi Transformasi Laplace - ppt download Contoh Soal Transformasi Laplace Ft Nada Blog - Cute766 bab 6 transformasi laplace 7. Transformasi Laplace Fungsi .Invers Laplace Fungsi Periodik … Soal Transformasi Laplace (dwi Saputra 201211022) [mwl1jvyo5vlj] Tentukan invers dari transformasi Laplace F(s)={ [tex]\frac{2s+1 … contoh soal tranformasi laplace.docx - KODE IKLAN 336x280 Setelah … 4. Invers Transformasi Laplace - .• Invers Transformasi Laplace … Sifat Transformasi Laplace – Bah TRANSFORMASI LAPLACE - PDF Download Gratis Contoh Soal Dan Jawaban Transformasi Fourier Diskrit – IlmuSosial.id Contoh Soal Invers Transformasi Laplace | Kumpulan Soal pelajaran 6 Sifat Invers – Extra Transformasi Laplace « teknik mesin 2011 universitas brawijaya Modul 7 Aplikasi Transformasi Laplace (1) - [DOC Document] Transformasi laplace (bag. kedua) PPT - Transformasi Z PowerPoint Presentation, free download - ID … Mencari Nilai Tengangan Pada Rangkaian R-L-C Dengan Menggunakan …

Resep Es Serut Melon

Desain Rumah Minimalis 2 Lantai 2019